Mathematics

Article teaser image

Are Vampires Real? Physics Professor Drives Scientific Stake Into The Heart Of Supernatural Myths

As the weather cools and Halloween approaches, creaks in the stairs and scary stories become more believable -- but not to physics professor Costas Efthimiou. The laws of physics and math debunk popular myths about ghosts and vampires, according to a paper published by Efthimiou and Sohang Gandhi last year. Using Isaac Newton's Laws of Motion, Efthimiou demonstrates that ghosts would not be able to walk and pass through walls. Basic math disproves the legend of humans turning into vampires after they are bitten, Efthimiou explains, because the entire human population in 1600 would have been…
Article teaser image

New Microgrid Technique 'Maps' Multiple Images For Variables

Scientists at the U.S. Department of Energy's Brookhaven National Laboratory have developed a method for correlating the results of microscopic imaging techniques in a way that could lead to improved understanding, diagnosis, and possibly treatment of a variety of disease conditions, including Alzheimer's disease. The Laboratory has filed a U.S. provisional patent application for the invention. The invention is essentially a micron-scale metallic marking grid upon which scientists place their samples - biological tissues or inorganic samples such as minerals - prior to imaging with different…
Article teaser image

Mathematicians Help Unlock Secrets Of The Immune System

A group of scientists, led by mathematicians, has taken on the challenge of building a common model of immune responses. Their work will radically improve our understanding of the human immune system by allowing all the scientific disciplines working on it to have a common reference point and language. The mathematicians will investigate how the different cellular components of the immune system work together and devise a theoretical and computational model that can be used by immunologists, mathematicians, computer scientists, physicists and engineers. The model promises to help a multi-…
Article teaser image

Mathematical Models Of Nerve Cell Behavior

A University of Leicester mathematician has been working with scientists in Japan and The Netherlands to develop a new technique that produces accurate mathematical models of the actual behaviour of nerve (neural) cells. Developing such models requires detailed information about the dynamics of components responsible for the spike generation in the cell. The main barrier between mathematical modelling and reality is that the most of intrinsic variables of living cell are not available for direct observation. Dr Ivan Tyukin and his colleagues developed a method for automatic reconstructing of…
Article teaser image

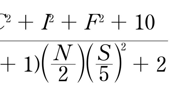
No Limit Poker: The Bluff Calculator

So, you've seen the WSOP on ESPN—big money, big personalities, big bluffs. But what these highlight reels forget to mention is the fact that, at the highest level, there's method behind the blood-pumping madness. Behind every good bluff is a strong foundation of numbers. And here it is: the equation that defines when to pull the trigger, even if you're holding three-six offsuit. Plug your numbers into this equation (or into the attached spreadsheet calculator) to calculate the percentage that you should bluff. Note—this works well for a specific situation: No Limit Texas Hold' Em, just after…
Article teaser image

Who Won The 2007 America's Cup Race? Applied Mathematics

In yacht racing, a one percent difference in boat resistance leads to a gain or loss of more than 30 seconds in a match race. Computational fluid dynamics research done by the winning Swiss Alinghi America's Cup syndicate led to gains of 2-5 percent in drag reduction on appendages like the keel, bulb and winglets, absolutely essential gains when you take into consideration that opponent Emirates Team New Zealand won two of the first three races but lost when the wind was more difficult. Advanced numerical methods have come a long way, it seems. The 2007 America's Cup was the first time every…
Article teaser image

Shor’s Algorithm On Quantum Computers Could Mean The End To Computer Security

New Scientist has written an article stating that new quantum technology can run a routine called Shor’s algorithm and that means the most dangerous threat posed by quantum computing, the ability to break the codes that protect our personal data, is now a step closer to reality. Worse, they report this feat has been performed by not one but two research groups, acting independently; one led by Andrew White at the University of Queensland in Brisbane, Australia, and the other by Chao-Yang Lu of the University of Science and Technology of China, in Hefei. Both teams have built laser-based…
Article teaser image

Gaming Fantasy Football With Mathematics

University of Cincinnati Assistant Professor Michael Fry and student Andrew Lundberg have an interesting approach to the fantasy football draft: all you really need to know is what set of players is not going to be available when your turn comes up. Fry and Lundberg published their results in the Journal of Quantitative Analysis in Sports with co-author Jeffrey Ohlmann from the University of Iowa. Fantasy sports drafts have a sequential order in which owners choose players from the available remaining pool of players. Football presented a good opportunity for this research because, unlike a…
Article teaser image

Could Newton's Apple Have Been An Indian Mango?

Did a group of Indian scholars out-math Newton hundreds of years before he was born? Dr George Gheverghese Joseph from The University of Manchester says the ‘Kerala School’ in India identified the ‘infinite series’- one of the founding principles of modern mathematics and a basic component of calculus - in about 1350. Circumstantial evidence listed by Gheverghese also says that the Indians passed on their discoveries to mathematically knowledgeable Jesuit missionaries who visited India during the fifteenth century and that knowledge may have been passed on to Sir Isaac later. The discovery is…
Article teaser image

Which Costs You More… Nearby Expensive Gas, or Cheaper Gas Across Town?

The answer is, of course... it depends. But with gas prices as high as they are these days, it’s good to know when it’s worthwhile to drive a few miles to save five cents a gallon, or when it’s just better to fill up at the station around the corner. To determine where you should top off your tank, it’s just a matter of running the numbers. You can figure out at exactly what point traveling to the cheap gas goes from saving you money, to wasting your time. Things you need to consider: How many gallons of gas do you need? (G) What is the gas mileage of your car? (MPG) What is the…