Science Education & Policy

Article teaser image

While The House Pushes Green New Deal Fan Fiction, The Senate Wants To Lower Emissions Using Science

The Green New Deal is the name given to a half-formed quasi-rational publicity stunt formed by the New Guard in the House of Representatives.  Deniers for hire like Organic Consumers Association, which are opposed to agriculture (not to mention their endorsement of anti-vaccine activists and endorsement of opponents of all science) say it will be great. And it will be, for their clients. That poor people will starve or freeze to death if city politicians define "sustainable" isn't really a concern, because the wealthy elites who give to environmental groups will be fine. The Senate took…
Article teaser image

Republicans And Democrats Are Equal In Science Knowledge - It's Gender, Education And Ethnicity That Make The Difference

Americans with more formal education fare better on science-related questions, minorities fare worse, and Republicans and Democrats are roughly similar in their overall levels of science knowledge. according to a new study released today by Pew Research Center.  There are substantial differences among Americans when it comes to knowledge and understanding of science and scientific processes. People’s level of science knowledge varies by education, race, ethnicity and gender, according to a new study released today by Pew Research Center.   A quiz with the 11 questions is available…
Article teaser image

Marijuana Became Legal In Washington State, And Became Less Cool To Teens

In Washington state, once retail sales were legalized, marijuana use by 8th and 10th graders actually declined. An obvious argument is that by legalizing it, the black market began to evaporate, and ethical vendors with legal businesses to lose are less likely to give it to children. Smoking is a "pediatric" disease because if people don't take it up early, they likely never will. But when criminals are the source of something, it becomes cool to rebellious teens, and consorting with criminals adds another layer of risk.  The survey analysis in the Journal of Adolescent Health is…
Article teaser image

After 25 Years Of Chaos, FDA Signals For Reform When It Comes To Supplement Oversight

United States Food and Drug Administration Commissioner Scott Gottlieb, M.D., has been in the private sector and in government, he has been care provider and patient, he has used supplements and watched as a $40 billion supplements industry duped the gullible and often engaged in outright deception, all using an exemption granted by the U.S. government.But a recent statement by him, coupled with a raft of warning letters to supplement companies, signals that might change. In 1994, President Bill Clinton signed the Dietary Supplement Health and Education Act, capping an effort led by Senator…
Article teaser image

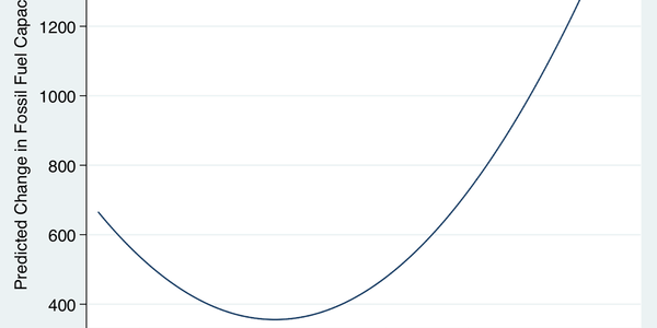
How More Environmental Regulations Lead To More CO2 Emissions

Data from 110 counties in 33 states from 1998 to 2014 has found that brute preservation efforts, the 'nature cannot be touched by humans' kind promoted by aggressive environmental groups, leads to more greenhouse gas emissions. The original conservationists regarded our land as a resource we all should be concerned about and steward properly; we can't live without food, but tearing down all of nature to grow food is harmful, so scientists have optimized food production to where we grow more food using less land, less water, less energy, and less environmental strain than ever. As a result, we…
Article teaser image

War On Science: Attacks On GMOs And Vaccines Reduce Trust In All Scientists

https://images.theconversation.com/files/253327/original/file-20190110-4... 1200w, https://images.theconversation.com/files/253327/original/file-20190110-4... 1800w, https://images.theconversation.com/files/253327/original/file-20190110-4... 754w, https://images.theconversation.com/files/253327/original/file-20190110-4... 1508w, https://images.theconversation.com/files/253327/original/file-20190110-4... 2262w" sizes=" 600px) 600px, 237px" /> What happens when a cover boils a measured article down to this provocative headline? National Geographic National Geographic’s March 2015 cover…
Article teaser image

4 Lessons The AIDS Epidemic Taught Us About How To Deal With The Opioid Addiction Crisis

Medicine is not going to be enough. That was the first lesson that the world learned when Acquired Immune Deficiency Syndrome (AIDS) raged across cultures in the 1980s. Though its cause was learned to be Human Immunodeficiency Virus (HIV) its transmission was social. In some undeveloped countries, unprotected sex, infidelity, and sometimes even rape were points of pride. In wealthier nations, risky behavior in sub-cultures was touted as freedom. Yet the illegal opioid epidemic has a much wider footprint. More people died last year from fentanyl and heroin use than died of AIDS during its…
Article teaser image

The National Bioengineered Food Disclosure Law List Is Announced

In July, 2016, to stave off a patchwork of state rules on food labels, and an effort by Democrats to put warning labels on genetically modified foods a few years prior, Congress directed the U.S. Department of Agriculture to create a national mandatory standard for food science under the National Bioengineered Food Disclosure Law. For government purposes, the definition of a bioengineered food is much different than science. Government defines a bioengineered food that contains "detectable genetic material" created through in vitro recombinant deoxyribonucleic acid (rDNA) techniques and…
Article teaser image

President Trump Has Ended Hemp Prohibition

By signing the Agriculture Improvement Act of 2018, colloquially called the Farm Bill, President Donald Trump removed industrial hemp from the controlled substances list. For the first time in over 80 years, farmers can grow and sell industrial hemp. The Farm Bill sets policies and reauthorizes farm, conservation, nutrition, rural development, agricultural trade and other programs for the next five years. USDA Secretary Sonny Perdue welcomed the new hemp legalization. “This is an industrial-use product, medicinally as well as other products, and we look forward to developing markets for it if…
Article teaser image

With Fluoride Decision, Canadians Are Moving Back Toward Mainstream Science And Medicine

In 2013, the Windsor city council voted 8-3 to remove fluoride from water. This was not the work of right-wing John Birch Society members, who were against fluoride in the 1950s because it was government interference in water, this was the result of left-wing anti-science activists. A few have wrapped themselves in the flag of personal choice about consumption, but most are honest in claiming they link negative health effects to fluoridation. Well, they can. I can also link health effects to the price of steel. Or anything else if there is a curve going the same direction. Organic food…