Psychology

Article teaser image

Born Evil: Is This The Rebirth Of Phrenology?

There hasn't been much of a debate about this paper at Science 2.0, so I thought I might briefly review it, and see what everybody else thinks. But, before we start, I should make one thing clear. I'm not a psychologist. I'm not even an evolutionary psychologist; I'm a paleontologist. And I should also make it clear that I am often very dubious of a lot of the findings of evolutionary psychologists, which often seem to me like pontificating on very banal things with very little actual science going on. Anyway, I happened to see the advance publication of this paper, published in Proceedings,…
Article teaser image

Stargate, Belief Systems, And The Misguided Assumption That The Truth Will Set Them Free

Occasionally, my interests in the psychology of belief and my love of sci-fi intersect. Imagine if you will my howling with disgust when one of my favorite shows perpetuates the 10% myth of brain use (and they all do it!).  Last night, we watched "Rules of Engagement," a third season Stargate SG1 episode in which Apophis has rounded up a bunch of young men and has them training to be infiltrators; SG1 gets stunned by them when they gate to the planet and think that the men in military uniforms are a missing SG team. In the end, one of the young men, the captain for one quadrant, is…
Article teaser image

Hiccups And Ever-Expanding Comfort Zones: Coping Adaptively

You know how you'll be swimming along (metaphorically), going, well geez, things are going pretty well, knock on wood? And then, bamm! You say those words, even invoking superstitious protections, and you're hit with anecdotal evidence that you spoke too soon? I'm just saying, it seemingly never fails to happen. Of course, that might be more to do with the reality that life is constantly on an up and down roller coaster ride of events and when we're in a high or in a low, it can be hard to see that it's been something else and will be again. One of the things that all families struggle with…
Article teaser image

Maybe We Need A Geopolitical Rumspringa

Norway just had a tragedy - the kind of random violence that social scientists, who we all wish would take a holiday during horrific events, will try and find correlation and causation for, like he was right wing or he was left wing or he was angry about farm prices or a video game store didn't having something he wanted or even that he didn't get enough sex, once evolutionary psychologists dive in. The media is little help at times like this; the Associated Press has gone out of its way to vindicate Muslim terrorism, as have Norwegians, with statements like "NRK and other Norwegian…
Article teaser image

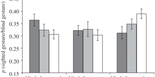
Rock-Paper-Scissors: Not So Random After All?

Rock-paper-scissors (henceforth, it shall be known as RPS) is a game, or method to determine who has to do something nobody really wants to do. The rules are pretty well-known. The players simultaneously form a rock, paper or scissors gesture with their hands, and rock beats scissors beats paper beats rock. The same gesture results in a draw. Since one person’s win means the other one’s loss, it can be considered a zero-sum game. Players can only achieve optimal outcomes if they do not imitate each other. A recent study went looking for the occurrence of automatic imitation in games of RPS.…
Article teaser image

Diet Psychology - People Eat Less When They Have Big Forks

Larger portions mean we eat more food but bigger bites less intuitively lead to eating less in restaurants,  according to new study in the Journal of Consumer Research. The authors conducted their study in an Italian restaurant by using two sizes of forks to manipulate bite sizes and found that diners who used large forks ate less than those with small forks. The authors then began to investigate why this finding seems to contradict earlier research on portion sizes. "We observe that diners visit the restaurant with a well-defined goal of satiating their hunger and because of this…
Article teaser image

The Broad Autism Phenotype: How Family Members Often Have Some Autistic Traits

In the autism community, it can’t help but be noticed that a good portion of the parents of autistic kids deal with the same kinds of issues their children do. Indeed, researchers also noticed that the personality traits that were similar in kind to autistic traits and behaviors, but usually of less intensity, were present in many of the family members of autistic individuals. These personality quirks and issues that mirror autistic traits (but usually less in number and in intensity) are known as the broad autism phenotype. Micali et al. (2004) note that the “genetic liability is not only…
Article teaser image

Women Fake It Less Than Men

I just finished watching the Women's World Cup semifinal football match, USA versus France, and am currently preparing to watch Japan versus Sweden and an important difference is immediately noticeable about womens' matches compared to men's. A lot less flopping. If you are not up on complex technical sports jargon, flopping is when, after a minor collision, you fall down and grasp a body part with a look of excruciating pain on your face, milk the drama to see if it draws a penalty and then look indignantly at the opposing team while you bravely resume as if nothing was wrong.   If you…
Article teaser image

Coffee and Catharsis - How are you helping?

Many of my clients are expressing deep fears about the future. They are concerned quite naturally about their families, personal finances, and so forth, but also about global affairs. I am pleasantly surprised that so many people are now keeping up with current events, but it does add another problematic dimension for my clients who are already overwhelmed with issues. Without exception, they feel powerless with regard to decisions made behind closed doors by those in authority. As a therapist, my task is to help people learn how to help themselves. Thus, I pose to you the same question…
Article teaser image

Opinion: Procol Harum Redux

I stumbled upon the song “Conquistador” today and was stunned by the parallels between Procol Harum’s lyrical references to the Vietnam War and current US military actions. How many decisive victories can the United States claim since WWII?  The only clear success I can think of was the invasion of Grenada in 1983 to protect and evacuate American medical students after a military coup.  We were in Grenada for a total of 52 days.  Our forces invaded, did their job, and then left.   “Conquistador, a vulture sits upon your silver shield” Compare and contrast this operation…