Physics

Article teaser image
In this post, I will provide the ultra orthodox fringe view (translation: just my view) on the problems that face physics when doing classical problems with gravity.  The difference between this blog and a more conventional presentation is that I will emphasize the problems instead of starting off with the leading proposals of the day. Classical gravity rules when nothing is moving fast and the masses are at a low density.  The same mathematical expression has ruled our description of the heavens since the publication of the Principia by Newton in 1687.  Modern theoretical…
Article teaser image
ATLAS sent today to the Cornell arxiv and to the journal JHEP their latest measurement of the top-antitop production asymmetry, and having five free minutes this afternoon I gave a look at the paper, as the measurement is of some interest. The analysis is done generally quite well, but I found out there is one things I do not particularly like in it... It does not affect the result in this case, but the used procedure is error-prone.  But let's go in order. First I owe you a quick-and-dirty explanation of what is the top asymmetry and why you might care about it. The top pair production…
Article teaser image
This blog - which, in different sites, has been online since 2005, hence for over 10 years now - enjoys a core of faithful readers, who over the years have learnt more detail on my personal life than they probably thought they'd need. But it also occasionally attracts larger crowds of web navigants with an interest in particle physics. They have all rights to not know who I am and whether I am a 20yo geek or a retired professor, male or female, etcetera. The other day I had to set up to take a reasonably well-crafted picture of myself for a new endeavour, as I do not have many portrait…
Article teaser image
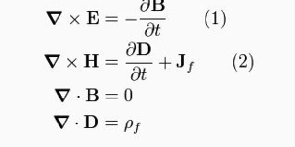
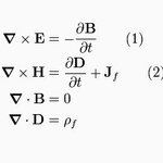
Time-dependent Maxwell's equations in media  By Robyn Arianrhod, Monash University It’s hard to imagine life without mobile phones, radio and television. Yet the discovery of the electromagnetic waves that underpin such technologies grew out of an abstract theory that’s 150 years old. Our knowledge of the existence of such waves is a direct result of James Clerk Maxwell’s theory of electromagnetism which was first published in January 1865. A statue of James Clarke Maxwell in Edinburgh, Scotland. Flickr/the justified sinner, CC BY-NC-SA Electromagnetism itself was…
Article teaser image
Can a penalty kick simultaneously score a goal and miss? In the realm of quantum mechanics that is certainly be true, because microscopic objects can take different paths at the same time.  Almost 100 years ago physicists Werner Heisenberg, Max Born and Erwin Schrödinger created this new field of physics which would be called quantum mechanics. Objects of the quantum world, according to quantum theory, no longer move along a single well-defined path. Rather, they can simultaneously take different paths and end up at different places at once. Physicists speak of quantum…
Article teaser image
The publishing giant Elsevier is about to launch a new journal, Reviews in Physics. This will be a fully open-access, peer-reviewed journal which aims at providing short reviews (15 pages maximum) on physics topics at the forefront of research. The web page of the journal is here, and a screenshot is shown below. As you might notice, I will be one of the handling editors of the journal. This is a new occupation for me - in the past I have been a reviewer for journals and a member of editorial board, but this time I will be sorting out what to publish, so it is a heavier involvement; if not in…
Article teaser image
Elsevier is about to launch a new journal, Reviews in Physics. This will be a fully open-access, peer-reviewed journal which aims at providing short reviews (15 pages maximum) on physics topics at the forefront of research. The web page of the journal is here, and a screenshot is shown below. As you might notice, I will be one of the handling editors of the review. So if you think you are in a good position to provide us with an overview of a specific physics topic, you might consider contacting me or the other editor. We favor young authors (where by "young" I mean under 40), but that is not…
Article teaser image
The CMS collaboration has released yesterday results of a search for Majorana neutrinos in dimuon data collected by the CMS detector in 8 TeV proton-proton collisions delivered by the LHC in 2012. If you are short of time and just need an executive summary, here it is: no such thing is seen, unfortunately, and limits are set on the production rate of heavy neutrinos N as a function of their mass. If you have five spare minutes, however, you might be interested in some more detail of the search and its results. Heavy neutrinos N may explain the very small but finite mass of the three "regular…
Article teaser image
I live in Massachusetts, home of the National Football League team the New England Patriots.  I admit to being a fan, being raised as a Minnesota Viking by two enthusiastic parents.  The Vikings have been to two super bowl 5 times (and lost 5 times, ouch).  Since 1980, I have lived in Massachusetts where the Patriots know how to win the whole thing.  Does that method involve cheating? [see also another blog on the subject] Right now there is an open mystery with regards to the Patriots.  When they played the American Football League Conference Championship game, 12…
Article teaser image
A periodic backup of my mobile phone yesterday - mainly pictures and videos - was the occasion to give a look back at things I did and places I visited in 2014, for business and leisure. I thought it would be fun to share some of those pictures with you, with sparse comments. I know, Facebook does this for you automatically, but what does Facebook know of what is meaningful and what isn't ? So here we go.The first pic was taken at Beaubourg, in Paris - it is a sculpture I absolutely love: "The king plays with the queen" by Max Ernst. Still in Paris (for a vacation at the beginning of January…

Donate

Please donate so science experts can write for the public.

At Science 2.0, scientists are the journalists, with no political bias or editorial control. We can't do it alone so please make a difference.

Donate with PayPal button 
We are a nonprofit science journalism group operating under Section 501(c)(3) of the Internal Revenue Code that's educated over 300 million people.

You can help with a tax-deductible donation today and 100 percent of your gift will go toward our programs, no salaries or offices.