Chemistry

Article teaser image

Practical Science - Measuring Chili Hotness With Nanotubes

Nano-whatever is all the rage. They're a big deal because they can make a blacker version of black and lots of other things but what does that even mean? Richard Compton and his team at Oxford University are here to help make carbon nanotubes understandable to everyone - namely, by making it relevant to food. They have developed a sensitivity technique to measure the levels of capsaicinoids, the substances that make chilis hot, in samples of hot sauce. They report their findings in The Analyst. The current industry procedure is to use a panel of taste-testers, which is highly subjective.…
Article teaser image

New Fatty Acids Discovered - But For Mechanical Engineering

CSIRO researchers have discovered a new class of fatty acids -- alpha-hydroxy polyacetylenic fatty acids -- that they say could be used as sensors for detecting changes in temperature and mechanical stress loads. CSIRO Entomology business manager, Cameron Begley, said researchers believed the discovery opened up an entirely new class of chemistry. “Some of these alpha-hydroxy polyacetylenic fatty acids act as indicators for a range of different conditions, such as mechanical stress or heat, and display self-assembling properties. Others display anti-microbial properties,” he said. AHU…
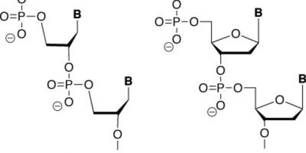
Article teaser image

GNA: DNA's Chemical Cousin Is A Nanotechnology Building Block

In the rapid and fast-growing world of nanotechnology, researchers are continually on the lookout for new building blocks to push innovation and discovery to scales much smaller than the tiniest speck of dust. In the Biodesign Institute at Arizona State University, researchers are using DNA to make intricate nano-sized objects. Working at this scale holds great potential for advancing medical and electronic applications. DNA, often thought of as the molecule of life, is an ideal building block for nanotechnology because they self-assemble, snapping together into shapes based on natural…
Article teaser image

New Hybrid Gel Is A Biodegradable Sensor

Your contact lenses of the future could be completely biodegradable. A soft contact lens is a hydrogel - a solid, gelatinous mass consisting of water incorporated in a polymer network. Now Berkeley researchers have developed a technique for the formation of hybrid materials from synthetic polymers and proteins, fusing the biological functions of proteins with the processing properties of plastics. Aaron P. Esser-Kahn and Matthew B. Francis say they have successfully synthesized a green-fluorescing biodegradable gel that responds to changes in pH value and temperature. These polymer-protein…
Article teaser image

Self-Repairing Polymer Technology Gets A Boost

Cracks in buildings that close without external help may seem a little far fetched but we already have a good template in the human body's ability to heal wounds by sending blood platelets to the affected area. In most cases the healing occurs without any need for external coagulants. The body's natural response to damage was the starting point for the development of self-repairing polymer materials with the ability to recover with minimal external help. There are currently two notable self-repairing technologies in polymer materials: adhesives and thermal encapsulation. As the name…
Article teaser image

Tunable Metamaterials Open Terahertz Frequencies To Many Applications

A frequency-agile metamaterial that for the first time can be tuned over a range of frequencies in the so-called “terahertz gap” has been engineered by a team of researchers from Boston College, Los Alamos National Laboratory and Boston University. The team incorporated semiconducting materials in critical regions of tiny elements – in this case metallic split-ring resonators – that interact with light in order to tune metamaterials beyond their fixed point on the electromagnetic spectrum, an advance that opens these novel devices to a broader array of uses, according to findings published in…
Article teaser image

Magnetite-Producing Bacteria Inspire Magnetic Nanoparticles

Even in new designs, it's not a bad idea to see how old Mother Nature does it. Using that principle, a group of researchers at the U.S. Department of Energy’s Ames Laboratory is mimicking bacteria to synthesize magnetic nanoparticles that could be used for drug targeting and delivery, in applications such as magnetic inks, high-density memory devices and magnetic seals in motors. Commercial room-temperature synthesis of ferromagnetic nanoparticles is difficult because the particles form rapidly, resulting in agglomerated clusters of particles with less than ideal crystalline and magnetic…
Article teaser image

Hiigh-Frequency Microcoolers Boost Electronic Component Performance

Electronics work better under cold conditions (-150 C). With less thermal noise, detectors are more sensitive and speed and reliability are increased. Low-noise amplifiers reduce noise further. Dutch-sponsored researcher Srinivas Vanapalli has investigated the possibilities for the extreme cooling of electronic components at a chip level. Besides research into extremely small structures, Vanapalli has constructed a proof-of-principle cooler which, despite the smaller dimensions, cools more effectively than conventional coolers and has therefore aroused commercial interest. He focused…
Article teaser image

The Forensics Problem Of "Green" Gun Ammunition Has Been Solved - Study

Green is in. Even the army is making sure to use environmentally friendly paint on its bombers and environmentally conscious people who have made great efforts to put ethical bullets into mainstream use will be happy that their lead-free status will no longer leave crimes unsolved. Scientists in Texas say a new, inexpensive test requires only a single speck of gunshot residue (GSR) smaller than the period at the end of this sentence and it could boost the accuracy of results at crime scenes involving gunplay. Many of the current methods are susceptible to outside interferences that can…
Article teaser image

Heavy Water, Molecular Evolution And Life On Our Planet

Heavy water is water (H2O) in which oxygen is bound to atoms of the hydrogen isotope deuterium (2H). Heavy water is so named because it is significantly more dense (>1.1 g/cm3) than ordinary ("light") water, 1H2O (1 gm/cm3). Heavy water is not radioactive and has the same chemical properties as light water; a person could drink a glass of heavy water without harm. However, heavy water is better than light water at moderating (slowing) neutrons, which makes it useful in some nuclear reactor cores. Its scarcity during World War II, partly assured by bombing raids and daring Allied commando…