Physics

Article teaser image

Goodbye Peter Higgs, And Thanks For The Boson

Peter Higgs passed away yesterday, at the age of 94. The scottish physicist, a winner of the 2013 Nobel Prize in Physics together with Francois Englert, hypothesized in 1964 the existence of the most mysterious elementary particle we know of, the Higgs boson, which was only discovered 48 years later by the ATLAS and CMS collaborations at the CERN Large Hadron Collider.  Experimental physicists around the world are probably mourning Peter Higgs today more than their theorist colleagues. That is because Peter Higgs was indelibly associated in their minds with the glorious, emotional day…
Article teaser image

Significance Of Counting Experiments With Background Uncertainty

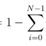
In the course of Statistics for Data Analysis I give every spring to PhD students in Physics I spend some time discussing the apparently trivial problem of evaluating the significance of an excess of observed events N over expected background B.  This is a quite common setup in many searches in Physics and Astrophysics: you have some detection apparatus that records the number of phenomena of a specified kind, and you let it run for some time, whereafter you declare that you have observed N of them. If the occurrence of each phenomenon has equal probability and they do not influence one…
Article teaser image

Significance Of Counting Experiments With Background Uncertainty

In the course of Statistics for Data Analysis I give every spring to PhD students in Physics I spend some time discussing the apparently trivial problem of evaluating the significance of an excess of observed events N over expected background B. This is a quite common setup in many searches in Physics and Astrophysics: you have some detection apparatus that records the number of phenomena of a specified kind, and you let it run for some time, whereafter you declare that you have observed N of them. If the occurrence of each phenomenon has equal probability and they do not influence one…
Article teaser image

The Analogy: A Powerful Instrument For Physics Outreach

About a month ago I was contacted by a colleague who invited me to write a piece on the topic of science outreach for an electronic journal (Ithaca). I was happy to accept, but when I later pondered on what I would have liked to write, I could not help thinking back at a piece on the power and limits of the use of analogies in the explanation of physics, which I wrote 12 years ago as a proceedings paper for a conference themed on physics outreach in Torino. It dawned on me that although 12 years had gone by, my understanding of what constitutes good techniques for engagement of the public and…
Article teaser image

On The Utility Function Of Future Experiments

At a recent meeting of the board of editors of a journal I am an editor of, it was decided to produce a special issue (to commemorate an important anniversary). As I liked the idea I got carried away a bit, and proposed to write an article for it.  In general, writing a scientific article is not something you normally do on demand - it requires one to first perform original research, and to then obtain interesting results. While I do have several projects ongoing which all provide for both those ingredients, the corresponding publications are meant for other journals and will not be…
Article teaser image

Where's Tommaso?

March is here, and with it begins a season of intense travel for me - something which for some combination of reasons has become sort of a habit. First, workshops and conferences are rarely scheduled in the December-February period. Second, the Christmas vacations put a sort of break to all activities and disrupt the flow. Third, I teach a course in the first semester, which is now over. And fourth, INFN funding mechanisms imply that it is harder to travel in those months (yearly budgets close toward the end of November, and funds become again available only a bit after the new year starts).…
Article teaser image

A New Free Tool For The Optimization Of Muon Tomography

Muon tomography is one of the most important spinoffs of fundamental research with particle detectors -if not the most important. It was realized already some sixty years ago that muons produced in the upper atmosphere by energetic cosmic radiation (protons or light nuclei) constituted a very useful probe of the interior of inaccessible volumes: since muons are very penetrating particles, and they withstand only minor Coulomb scattering as they pass through dense layers of matter (with a useful dependency of the scattering angle on the density of the material), by placing tracking…
Article teaser image

On Overfitting In Statistics And In Machine Learning

I recently held an accelerated course in "Statistical data analysis for fundamental science" for the Instats site. Within only 15 hours of online lectures (albeit these are full 1-hour blocks, unlike the leaky academic-style hours that last 75% of that) I had to cover not just parameter estimation, hypothesis testing, modeling, and goodness of fit, plus several ancillary concepts of high relevance such as ancillarity (yep), conditioning, the likelihood principle, coverage, and frequentist versus bayesian inference, but an introduction to machine learning! How did I do?I think overall the…
Article teaser image

An Idea For Future Calorimetry

A calorimeter in physics is something that measures heat. However, there are mainly two categories of such objects: ones that measure macroscopic amounts of heat, and ones that measure the heat released by subatomic particles when they smash against matter. I am sure you guess which is the class of instruments I am going to discuss in this article.A further distinction among calorimeters for particle physics is the one concerning the kind of particles these devices aim to measure. Electromagnetic calorimeters target electrons and photons, and hadronic calorimeters target particles made of…
Article teaser image

Comparing Student Reactions To Lectures In Artificial Intelligence And Physics

In the past two weeks I visited two schools in Veneto to engage students with the topic of Artificial Intelligence, which is something everybody seems to be happy to hear about these days: on the 10th of January I visited a school in Vicenza, and on the 17th a school in Venice. In both cases there were about 50-60 students, but there was a crucial difference: while the school in Venezia (the "Liceo Marco Foscarini", where I have been giving lectures in the past within the project called "Art and Science") was a classical liceum and the high-schoolers who came to listen to my presentation were…