Physics

Article teaser image
Many people struggle with, and even rail against, Einstein's Special Theory of Relativity.  The way it is usually taught or presented often seems to make it appear to be ever so complex, far too abstract and opaque, and even downright "hokey".*  My experience certainly allows me full empathy for such struggles. However, through my journey through these struggles, I did find the kernel, the "missing piece", even the "gem", so to speak, behind the theory.  I suspect that this kernel may be what is missing in the understanding of those that struggle with, or, maybe, even rail…
Article teaser image
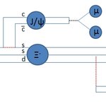
No, unfortunately not yet the discovery of the century. Still, the new particle found by CMS in its 2011 dataset is a very important piece of the puzzle of low-energy spectroscopy. Here "low" should be taken with a pinch of salt: the new particle, an excited state of the Ξ_b series, has a mass only slightly lower than six GeV, and is thus "heavy" if compared to most other hadrons. The CMS experiment is one of the two omni-purpose detectors at the Large Hadron Collider (LHC), the "end-of-the-world" machine colliding protons at the CERN laboratories near Geneva, at the border between…
Article teaser image
When I started a career in particle physics, joining the CDF experiment at the Fermilab Tevatron proton-antiproton collider about two decades ago, the search for a particle decay signal into hadronic jets was not something one would undertake lightly at a hadron collider: jets are omnipresent when you collide hadrons at high energy, so they constitute a irreducible background. Just as a detective looking for a blonde thief with swedish accent in Sweden, you would be close to clueless. Yet, jet-decaying resonances were at the time (the early nineties) a very interesting, intriguing topic. The…
Article teaser image
I tried to figure out the precession of the perihelion of Mercury calculation out three or four times from my collection technical books on gravity.  There was never enough detail for me to follow their work.  The authors can rightly figure that anyone reading this part of their textbook is exceptionally good at physics compared to the general populace and will be able to fill in any missing details. For those part-timers who wish to move beyond the "Brief History of Time" level of physics, this is an obvious thing to try and figure out.  Because gravity does not work…
Article teaser image
As seen in the article on the hydrogen atom the value of a number numerically equivalent to Planck's reduced constant comes from the equations for the energy of the electron as from the self-field theory (SFT) formulation and can be calculated from the solution of the Bohr radius and the resonant frequency.  The known value of Planck’s reduced constant compares with this analytic estimate to an accuracy of 7 significant figures. The known value of this physical constant comes from experiments that have continued till the present starting with Planck's…
Article teaser image
The LHC is ramping up in instantaneous luminosity according to schedules, and has just surpassed the measure of one inverse femtobarn of collisions delivered to the CMS experiment, as shown in the picture below.The peak instantaneous luminosity shown below exhibits a nice smooth increase:  With one inverse femtobarn of collisions at 8 TeV there is already as much discovery power for a 3-TeV q-qbar resonance as with the whole 2011 data at 7 TeV, because parton luminosities increase steeply with effective subprocess centre-of-mass energy, as shown in the figure below (taken from Chris…
Article teaser image
A couple of weeks ago the CDF and DZERO experiments have produced a combination of their measurements of the W boson mass. Besides two older determinations of this fundamental parameter of the Standard Model, the new 2.2/fb measurement by CDF and the 4.3/fb measurement by DZERO have been averaged together, accounting for correlated systematics. [x/fb is a shorthand for the amount of collisions from which the W boson datasets have been extracted by the experiments: 1/fb is about 80 trillion proton-antiproton collisions.] The W boson is one fundamental ingredient in our recipe of elementary…
Article teaser image
I am just back from a vacation to Greece, where last Sunday was orthodox Easter. My fiancee Kalliopi is Greek, and it was about time for me for me to experience a bit of Greek customs. So we flew to Athens, and then headed to Salamina, where I had a lot of fun the Greek way in the company of a very cheerful dozen of relatives and friends. Among the obligatory ingredients of a Greek Easter is the roasted lamb. It is cooked all in one piece, on a huge skewer, by rolling it for hours over hot coals. Its appearance is a bit disturbing at first, that is until the smell start to turn from that of a…
Article teaser image
Widely accepted theories of dark matter,  a mysterious invisible substance that can only be detected indirectly by the gravitational force it exerts, expect the solar neighborhood to be filled with the stuff - but it isn't, at least as far as can be detected. This extra ingredient in the cosmos was originally suggested to explain why the outer parts of galaxies, including our own Milky Way, rotated so quickly, but dark matter now also forms an essential component of theories of how galaxies formed and evolved. Today it is widely accepted that dark matter constitutes about 83% of the mass…
Article teaser image
This is my first article in here. I found Science 2.0 all by accident, looking for articles to update my scoop.it journal focused on Nuclear Physics (in case you are interested here it is). My first and biggest question was the name of this blog hosted in Science 2.0. What should it be? I picked Moment Zero for a dual reason: first, this is my moment zero in the site and hope it will expand in time (entropy rules!) and, second, being an experimentalist dealing with nuclear EM moments, I thought that a moment of zero value would be a good starting point to look for nice phenomena. This time…

Donate

Please donate so science experts can write for the public.

At Science 2.0, scientists are the journalists, with no political bias or editorial control. We can't do it alone so please make a difference.

Donate with PayPal button 
We are a nonprofit science journalism group operating under Section 501(c)(3) of the Internal Revenue Code that's educated over 300 million people.

You can help with a tax-deductible donation today and 100 percent of your gift will go toward our programs, no salaries or offices.