A calculation the size of Manhattan

A calculation the size of Manhattan

The American Institute of Mathematics (AIM), one of the leading math institutes in the U.S., announced today that after four years of intensive collaboration, 18 leading mathematicians and computer…
A quick note on methodolgy and legitimacy

A quick note on methodolgy and legitimacy

In theory, if you could define all the factors that go into making a decision and could define exactly how important is each of these factors, and could define how these factors interact, you could…
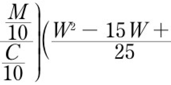
Do you deserve a two-martini lunch?

Do you deserve a two-martini lunch?

In this equation, it's probably pretty obvious what you should do. But is your life ruled by should? Do you gimp through your week yessir-ing and nomam-ing and cowtowing to avoid punishment? Okay, so…
The Oscartronic 2007

The Oscartronic 2007

Usually when you turn on the tube, you can be fairly certain what you are going to see—you know a show’s genre, actors, and reputation and even supposedly unscripted reality television rarely bucks…
Beauty or the Beast: Oscar Fashion by the Numbers

Beauty or the Beast: Oscar Fashion by the Numbers

When you turn on the Oscars, what are you really watching? Most people admit it's a good excuse for a fashion show. And it seems an obvious choice between Keira Knightley’s elegant, wine-colored Vera…
Mathematical model predicts cholera outbreaks

Mathematical model predicts cholera outbreaks

A mathematical model of disease cycles developed at the University of Michigan shows promise for predicting cholera outbreaks. Speaking in a symposium titled "New Vistas in the Mathematics of…
Zen mind, scientific mind

Zen mind, scientific mind

Suzuki roshi, in his wonderful Zen mind, beginner's mind, talks about the mental approach necessary for the study of Zen. It's an open, naïve attitude, without preconceptions and without habits which…