Using Old Math To Learn About New Waves

Using Old Math To Learn About New Waves

A new way of looking at a previously abandoned mathematical model might help astronomers study and accurately identify an exotic clan of gravitational waves. The waves in question come from small…
Which House? Real Estate by the Numbers

Which House? Real Estate by the Numbers

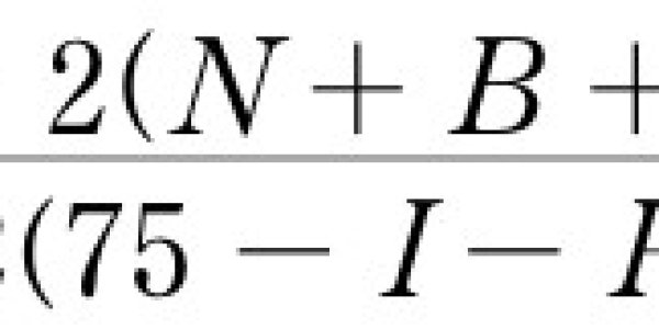
'Tis the season—the real estate season—and though this one isn't shaping up to be the boomer of two years ago, or even the desperate sell-off of last summer, people will nevertheless be buying houses…
Northeastern nerds make Rubik's Cube history

Northeastern nerds make Rubik's Cube history

27 moves? They don't need no stinking 27 moves. Northeastern University Computer Science professor Gene Cooperman and graduate student Dan Kunkle set out to do what no one clamored for - solving…
In new statistical approach, data decide models

In new statistical approach, data decide models

A data-driven computational approach developed by a University of Illinois statistician is revealing secrets about inner Earth and discovering unique gene expressions in fruit flies, zebra fish and…