Mapping The Brain, With The Help Of Many

Mapping The Brain, With The Help Of Many

The brain is quite complex (talking about an understatement), with its billions of neurons with many connections between them. These neurons and their connections form an intricate three-dimensional…
The Shrinking Brain

The Shrinking Brain

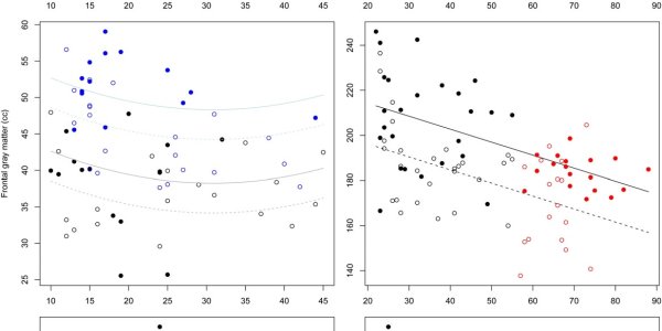
Age does  a lot of things to us. And to our brains, which shrink when we grow older. Those incredibly complex neural networks inside our skulls not only shrink, but they also become more…
Decapitation And The Wave Of Death

Decapitation And The Wave Of Death

A perhaps somewhat lugubrious study, published in PLoS ONE, set out to investigate whether decapitation is a humane method of euthanasia in small animals, such as rats and birds. To do this, they…
(Squid) Brains Are Actually Not Computers

(Squid) Brains Are Actually Not Computers

New neurological research, using, of course, the ever-popular giant axon of squid, shows that neurons are pretty darn clever at picking signal out of noise. And what's more, they're sensitive to…
Binge Drinking And The Biology Of Blackouts

Binge Drinking And The Biology Of Blackouts

Sometimes a person who gets drunk can perform functions their friends might regard as ordinary, like carrying on a conversation or driving a car - but the drunkard might have no memory of those…
Revealed - The First Ad Campaign For Monkeys

Revealed - The First Ad Campaign For Monkeys

In the immortal Richard Donner classic "Scrooged", the following exchange takes place between Frank, the president of the network, and his boss, Preston: Preston: Do you know how many cats there are…